Nguyên Nhân Thiếu Vitamin B12 là gì, triệu chứng thiếu Vitamin B12 là gì? 4 [...]
Thực Phẩm Cần Tránh Khi Nhiễm HP Chế độ ăn uống là một phần rất [...]
Câu hỏi của bạn Nguyễn Văn Th… Thế giới đã có vắc xin phòng ngừa [...]
Sâm Ấn Độ dùng để làm gì? Ashwagandha là một thảo dược có gốc và [...]
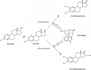
Thông tin về ascorbigen, ascorbigen là gì tác dụng của loại chất này như thế [...]
Artemisia Herba Alba Là Gì? tác dụng của loại thảo dược này như thế nào? [...]
A Ngùy tên thông thường: A Wei, Asafétida, Ase Fétide, Assant, Crotte du Diable, Devil’s [...]
Axit Alpha Linoleic tên thông thường: axit alpha linoleic, Acide Alpha-Linolénique, Ácido Alfa Linolénico, Acide [...]
BÍ QUYẾT ỨC CHẾ VI KHUẨN HP TẠI NHÀ